Ecological impacts of introduced sportfish on lakes
Research Cluster: Mountain Limnology and Global Change
Project Coordinator: Rolf Vinebrooke
Alpine Lakes but not Montane Valley Lakes Require Rescue from the Ecological Impacts of Introduced Sportfish
Alpine ecosystems are implicitly more affected by novel environmental changes (i.e. stressors) than those located at lower elevations. Here, the assumption is based upon there being inherently fewer alpine species that compensate for any loss of biodiversity and still insure proper ecosystem functioning in the presence of stressors. In contrast, lower valley lakes contain greater biodiversity and are more productive, resulting in an expected higher probability of there being species that are tolerant of various stressors. As a consequence, stressed local alpine ecosystems may rely more heavily than valley ecosystems on rescue via colonization by tolerant taxa from the broader regional species pool (MacLennan and Vinebrooke 2016). Metacommunity theory predicts that a regional species pool should be able to rescue a biologically impoverished local community via “mass effects” if potential colonists are not dispersal-limited by long distances or topographical barriers (e.g., massive mountain ridges).
To date, the most striking stressor of mountain lake ecosystems in the national and provincial mountain parks of Canada has been their stocking with non-native sportfish during the 20th century (Schindler and Parker 2002). Although this practice was halted in the national mountain parks by the 1980s in response to them being designated as UNESCO World Heritage Sites, introductions of sportfish into mountain lakes continues elsewhere both here in North America and aboard. Non-native sportfish that were introduced into the Canadian Rockies (e.g., European brown trout, Eastern brook trout, Rainbow trout) often functioned as novel predators, especially those in naturally fishless lakes. Here, these visually-feeding consumers exerted size-selective predation pressure on those invertebrates that were easily detectable – e.g., large and colourful taxa that are typically otherwise found in fishless alpine lakes. Biological impoverishment of these stocked lakes by these invasive fish also deteriorated water quality because of they reduced grazing pressure and also provided nutrients to algae, especially in heavily stocked, smaller alpine lakes located along the Cascade Valley in Banff National Park.
In comparison, more recent effects of higher temperatures and extreme climatic events on mountain lake ecosystems have in general been subtle. Summer heating events were earlier hypothesized to favour a shift towards smaller species as they experience relatively less metabolic cost in having to thermoregulate their body mass. Indeed, shorter and/or warmer ice-free conditions did stimulate smaller phytoplankton and zooplankton species across a series of alpine lakes and ponds in Banff National Park, Alberta (Strecker et al., 2004; Parker et al., 2008). Elsewhere, the negative effects of higher temperatures on consumers are attributable to them not being as responsive as their prey to earlier ice-out or onset of thermal stratification.
Introduced non-native sportfish may confound the future effects of higher temperatures on mountain lakes. The sportfish can stimulate smaller species through selective feeding on their larger invertebrate competitors or predators, thereby leaving in place those species that can better tolerate warming. As a result, if certain smaller invertebrate species are present within certain stocked mountain lakes, then these communities may even become more productive under warmer conditions. In other words, introduced sportfish may reduce or even reverse the ecological effects of higher temperature, which equates to them having a combined impact that does not equal the sum of their individual direct effects, termed by some as constituting an “ecological surprise.”
The main goal of our recent research at the field station has been to determine how local biological communities from naturally fishless alpine and lower montane lakes respond to the combined effects of non-native sportfish and higher temperatures, and whether either requires rescue by the regional species pool. In particular, we have conducted two large-scale mesocosm experiments (Fig. 1) in which we have crossed a sportfish treatment (single rainbow trout fingerling vs fishless) with a heating treatment (~+4°C).

Figure 1. Matrix of experimental pond mesocosms at the University of Calgary Biogeoscience Institute Barrier Lake field station.
MacLennan also found that the positive effect of the introduced sportfish on zooplankton diversity further significantly stimulated production by the zooplankton while warming had little effect; however, when the zooplankton simultaneously experienced both fish predation and warming, their growth responded synergistically (Fig. 3; i.e. a net response that was far greater than the sum of individual response to each stressor).
The first experiment was conducted by Megan MacLennan as part of her doctoral research (MacLennan et al., 2015). Her response variables focused on lower montane plankton communities assembled from a number of lakes that had returned to their naturally fishless status over the past 20 years. She discovered that the negative effect of fish on the body size of zooplankton, including the top invertebrate predator (the phantom midge Chaoborus) actually resulted in a net increase in species diversity because of several smaller calanoid and cyclopoid species to flourish in the presence of fish while not being detected in the fishless control (Fig. 2).
Figure 2 (below): Ordination plot showing associations of lower montane zooplankton species with experimental fish-introduction and higher temperature treatments. Proximity of species to fish/no fish symbols and the temperature vector indicates strength of their responsiveness to each factor.


Figure 3 (Left). Effects of introduced rainbow trout fingerlings and warming on total biomass of a lower montane zooplankton community across the 42-day mesocosm experiment. Error bars depict standard error (n = 5). Figure 4 (Right). Effects of introduced rainbow trout fingerlings and warming on phytoplankton biomass as measured using chlorophyll concentrations across the 42-day mesocosm experiment. Error bars depict standard error (n = 5)
The synergistic positive effect of fish and warming on zooplankton production was attributable to an increase in the availability of their food base, namely phytoplankton as measured using their chlorophyll content (Fig. 4). The increase in phytoplankton abundance reflected the fertilizing effect of the rainbow trout as they exert, and enhance recycling of, nutrients, such as phosphorus. Higher concentrations of phytoplankton in the presence of fish was also likely in part attributable to their consumption of the dominant grazers in the zooplankton community, namely daphnids. As a consequence, it became clear that lower montane zooplankton communities likely do not require functional rescue from the surrounding regional species pool because they appear to already contain the necessary species needed to compensate for the impacts of introduced sportfish and higher temperatures. In fact, they appeared in the experiment to even overcompensate for these stressors by increasing in both species diversity and net production.
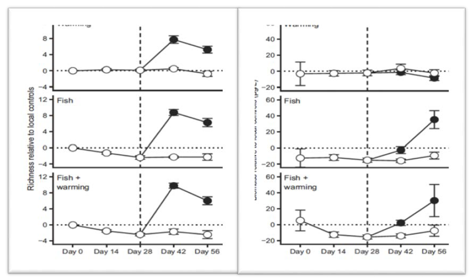
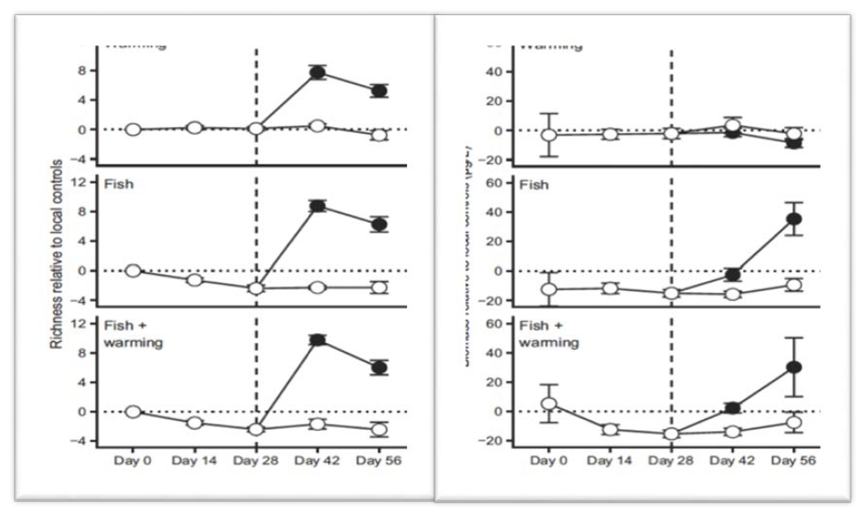
Charlie Loewen conducted a complementary study focusing on fishless alpine lake community responses to introduced rainbow trout fingerlings and an average increase in water temperature of ~+4°C (Loewen and Vinebrooke 2016). Using the same experimental setup as Megan’s, he also showed that the impacts of fish far outweighed the subtle influence of warming. Charlie, however, found that the relatively species-poor (6 species) alpine communities did not contain the species that could compensate for the significant negative effect of sportfish on zooplankton diversity (Fig. 5). Here, he had also included a potential rescue treatment in his experimental design where he added on day 28 of the experiment a regional species pool of zooplankton (18 additional species) collected from 25 other mountain lakes and ponds to half of the mesocosms. Surprisingly, the regional species pool not only rescued the local alpine community from the negative effects of the novel predator, but actually reversed it so as to increase zooplankton diversity and biomass (Fig. 6).

Figure 5 (Left) Effects of the additional of a regional species pool, introduced rainbow trout fingerlings, and warming on species richness of an alpine zooplankton community across the 56-day mesocosm experiment. Error bars depict standard error (n = 4). (Right) Effects of the additional of a regional species pool, introduced rainbow trout fingerlings, and warming on the total biomass of an alpine zooplankton community across the 56-day mesocosm experiment. Error bars depict standard error (n = 4).
In summary, Megan’s and Charlie’s findings highlight that restoration efforts involving the return of previously stocked mountain lakes to their fishless state should likely focus on those in the alpine rather than in lower montane valleys. Alpine lakes may fail to recover on their own in terms of species diversity and production once introduced sportfish populations have collapsed or been extirpated. In contrast, lower montane lakes appear to contain sufficient biodiversity to adjust functionally to changes in the abundance of sportfish. However, we still only have limited evidence of the natural ecological resilience of mountain lake communities following the removal of non-native sportfish.
References
Loewen, C. J. G., & Vinebrooke, R. D. (2016). Regional diversity reverses the negative impacts of an alien predator on local species-poor communities. Ecology, 97(10), 2740–2749.
MacLennan, M. M., Dings-Avery, C., and Vinebrooke, R. D. (2015). Invasive trout increase the climatic sensitivity of zooplankton communities in naturally fishless lakes. Freshwater Biology, 60(8), 1502–1513.
MacLennan, M. M., Vinebrooke, R. D. (2016). Effects of non-native trout, higher temperatures and regional biodiversity on zooplankton communities of alpine lakes. Hydrobiologia, 770, 193-208.
Parker, B. R., Vinebrooke, R. D., & Schindler, D. W. (2008). Recent climate extremes alter alpine lake ecosystems. Proceedings of the National Academy of Sciences of the United States of America, 105(35), 12927–12931.
Schindler, D. W., & Parker, B. R. (2002). Biological Pollutants: Alien Fishes in Mountain Lakes. Water, Air, & Soil Pollution: Focus, 2(2), 379–397.
Strecker, A. L., Cobb, T. P., & Vinebrooke, R. D. (2004). Effects of experimental greenhouse warming on phytoplankton and zooplankton communities in fishless alpine ponds. Limnology and Oceanography, 49(4), 1182–1190.