The Role of Non-climatic Factors on Seedling Establishment
Research Cluster: Vegetation Dynamics and Forestry
Project Coordinator(s): Emma Davis and Ze’ev Gedalof, University of Guelph
Trees on the Move: The Role of Non-Climatic Factors on Seedling Establishment Beyond Alpine Treelines
Forest systems around the world are being affected by changes in temperature and precipitation associated with climate change (Harsch et al. 2009). Subalpine forests, which grow at the upper limit of their distributional ranges, are particularly sensitive to environmental change, and records of tree establishment and repeat photography have shown that many subalpine forests in the Canadian Rocky Mountain region have shifted upward in elevation in response to climate warming over the past century (Brown 2013; Kavanagh 2000; Roush 2009). The response to climate change has been inconsistent, however, with some treeline systems showing little response to warming temperatures, and the rate of treeline advance often lags behind the rate of climate warming (Gray and Hamann 2012; Harsch et al. 2009; Roush 2009).
The objective of our project was to evaluate the role of non-climatic factors in mediating the relationship between climate change and treeline advance in an effort to explain these inconsistencies, and to gain insight into how subalpine forest systems in the region are likely to change in the years to come. We combined field experiments with growth chamber and greenhouse studies to identify the effects of soil properties, seed availability, herbivory, competition, and microclimate on the establishment success of tree seedlings beyond their current elevational range.

Fig. 1: Location of study sites in the Canadian Rocky Mountains. Soil samples were collected from the forest, transition, and alpine zones of each site and transported to the University of Guelph for use in a greenhouse and growth chamber study.
Figure adapted from Davis et al. in press.

Fig. 2: Average measures (+/- standard error) of seedling viability and growth across elevation zones and pooled by site. The data is divided by trials 1 ( - growth chamber experiment) and 2 ( - greenhouse experiment).
Figure adapted from Davis et al. in press.
Soil properties affect tree seedling establishment and growth
Soil samples from the forest, transition, and alpine zones of four study locations in the Canadian Rocky Mountains (Figure 1) were collected to study the effects of soil properties on the establishment and growth of Engelmann spruce seedlings. The samples were analyzed for various physical and chemical properties (e.g., grain size, organic content, nutrient availability), and were used in a growth chamber and greenhouse study at the University of Guelph, Ontario, Canada. Engelmann spruce seeds collected from a common provenance in south-western British Columbia (provided by the B.C. Tree Seed Centre, Surrey, B.C.) were planted in the soils collected from the field. Seedlings were grown under controlled conditions for three months, during which their germination, growth, and survival was monitored.
The results of our study suggest that soil properties become more unfavourable for seedling establishment with increasing elevation. Seedling height, root mass, and survival were lowest for seedlings grown in soils collected from beyond the current species range (Figure 2), indicating that future establishment in the alpine may be constrained by unsuitable soil properties. Alpine soils tended to have smaller grain size distributions and were slightly less nutrient rich than their forest counter-parts, likely making it more difficult for tree seedlings to acquire the water and nutrients required for growth and survival (Davis et al. in press). Our research indicates that even if the climate beyond the current treeline becomes suitable for the growth and survival of Engelmann spruce trees in the future, soil properties may limit or slow the process of tree seedling establishment.
The effect of non-climatic factors on seedling establishment in the alpine
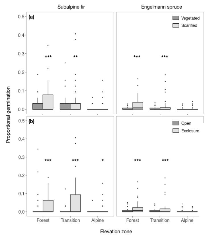
Non-climatic factors play an important role in the establishment of tree seedlings at small temporal and spatial scales, and can cause variability in the relationship between climate and establishment processes (e.g., Brown and Vellend 2014; HilleRisLambers et al. 2013; Wagg et al. 2011). We conducted a seed addition experiment to test for the effects of seed availability, seed predation, competition, and microclimate on the establishment of Engelmann spruce and subalpine fir seedlings beyond their current elevational ranges.
Seed addition plots were established in the field at the same study locations and elevation zones as the soil suitability study described above, and seedling germination was monitored for three years (2015-2017). Experimental protocols followed those of the Global Treeline Range Expansion Experiment (G-TREE; Brown et al. 2013), and replicated plot treatments included: (1) a split-plot seed addition treatment (known quantity of Engelmann spruce or subalpine fir seeds added) with a herbivore exclosure placed over half the plot; (2) a split-plot seed addition treatment with soil scarification (upper layer of soil and vegetation removed) and herbivore exclosure; (3) a control treatment; and (4) a scarified control treatment. iButton temperature sensors (Maxim IntegratedTM) were buried within the control plots of each elevation zone at 3 cm depth, allowing us to infer the growing season temperatures and snow cover experienced by germinating seedlings. By manipulating vegetation cover, applying herbivore exclosures, and monitoring soil temperatures, we were able to identify the effects of non-climatic factors on the germination and survival of tree seedlings across the four treeline ecotones (Figure 3). The proportional germination of both species appears to be favoured by both the removal of neighbouring vegetation (scarification treatment) and protection from herbivores (closed cage), particularly in the forest zone (significant differences between treatment effects at each elevation zone; *** P < .001; ** P < .01; * P < .05).

Fig. 3: Mean proportion of established subalpine fir and Engelmann spruce seedlings by elevation zone, vegetation treatment (a) and cage treatment (b).

Fig. 4: Relationships between mean seedling establishment, snow cover duration (a), and mean growing season temperatures (b). Species were pooled together for the analysis but are separated here for visualization.
Future seedling establishment beyond Rocky Mountain treelines
The results of our field and greenhouse experiments suggest that it will be challenging for seedling establishment to keep pace with the degree of climate change anticipated for the study region over the next century. Growing season temperatures will very likely continue to rise and winter precipitation to continue declining in the coming decades (Wang et al. 2012), factors we identified to be associated with reduced seedling establishment, and soil properties are unlikely to improve on relevant time scales. Our findings support the idea that non-climatic factors will continue to play an important role in mediating the response of forest systems to climate change (HilleRisLambers et al. 2013; Macias-Fauria and Johnson 2013) and should be considered when forecasting imminent changes in species distributions. Future research for this project will be focused on refining our understanding of the role of microclimate conditions on seedling establishment in alpine treelines throughout the Canadian Cordillera.
References
Brown, Carissa D. and Vellend, Mark (2014), 'Non-climatic constraints on upper elevational plant range expansion under climate change', Proceedings of the Royal Society B, 281, 1-9.
Brown, Carissa D., et al. (2013), 'Global Treeline Range Expansion Experiment Field Protocols', 1-9.
Brown, Robert (2013), 'Response of Alpine Treeline Ecotones to 20th Century Climate Change: A Comparative Analysis from Kananaskis Country, Alberta', MSc Thesis (University of Guelph).
Davis, Emma L., Hager, Heather A., and Gedalof, Ze'ev (in press), 'Soil properties as constraints to seedling regeneration beyond alpine treelines in the Canadian Rocky Mountains', Arctic, Antarctic, and Alpine Research.
Gray, Laura K. and Hamann, Andreas (2012), 'Tracking suitable habitat for tree populations under climate change in western North America', Climatic Change, 117 (1-2), 289-303.
Harsch, Melanie A., et al. (2009), 'Are treelines advancing? A global meta-analysis of treeline response to climate warming', Ecology Letters, 12, 1040-49.
HilleRisLambers, Janneke, et al. (2013), 'How will biotic interactions influence climate change-induced range shifts?', Annals of the New York Academy of Sciences, 1297 (1), 112-25.
Kavanagh, Trudy A. (2000), 'A Reconstruction of Treeline Dynamics in Sunwapta Pass, Alberta', PhD Dissertation (The University of Western Ontario).
Macias-Fauria, Marc and Johnson, Edward A. (2013), 'Warming-induced upslope advance of subalpine forest is severely limited by geomorphic processes', Proceedings of the National Academy of Sciences of the United States of America, 110, 1-6.
Roush, William M. (2009), 'A Substantial Upward Shift of the Alpine Treeline Ecotone in the Southern Canadian Rocky Mountains', MSc Thesis (University of Victoria).
Wagg, Cameron, et al. (2011), 'Soil microbial communities from an elevational cline differ in their effect on conifer seedling growth', Plant Soil, 340, 491-504.
Wang, Tongli, et al. (2012), 'ClimateWNA - High-Resolution Spatial Climate Data for Western North America', Journal of Applied Meteorology and Climatology, 51, 16-29.